Регистрация
Войти
Стать экспертом
Правила
Математика
Munirdred
7 год назад
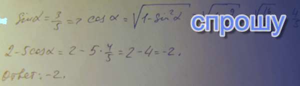
Найдите значение выражения: 2-5cos(a), если известно, что sin(a) = 3/5, если 0
ОТВЕТЫ
Demidovich
Jul 7, 2019
Решение во вложенном файле.
273
Смежные вопросы:
Найти область определения функции 7 класс
решите пожалуйста е и ж срочно
В первый час автобус прошёл 4/9 всего пути, во второй
Решите уравнение
(x+3)-17 = -20
-(-10-b)+23,5
Расположите в порядке возрастания числа a, a - 1, 0
Контакты
Реклама на сайте
Спрошу
О проекте
Новым пользователям
Новым экспертам