
Адельфий
7 год назад
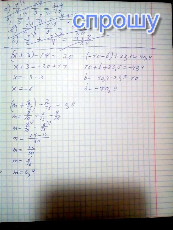
Решите уравнение
(x+3)-17 = -20
-(-10-b)+23,5 = -40,4
(m+8/15)-2/15 = 0,8

ОТВЕТЫ

Anaklet
Jul 7, 2019
Х+3-17=-20
х=-20-3+17
х=-6
10+б+23,5=40,4
б=40,4-23,5-10
б=6,9
м+8/15-2/15=0,8
м=4/5-8/15+2/15
м=12-8+2/15
м=6/15=2/5
х=-20-3+17
х=-6
10+б+23,5=40,4
б=40,4-23,5-10
б=6,9
м+8/15-2/15=0,8
м=4/5-8/15+2/15
м=12-8+2/15
м=6/15=2/5
Решение на фотографии)
95