Регистрация
Войти
Стать экспертом
Правила
Математика
Савиниан
7 год назад
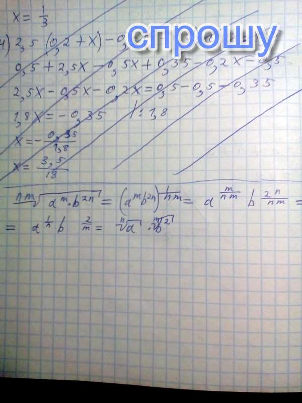
Сократить показатели корней
nm√(a^m×b^2n )
ОТВЕТЫ
Artamon
Jul 7, 2019
Решение на фотографии.. Думаю так
59
Смежные вопросы:
Найди корни уравнения sinx⋅cosx = −√2/2sinx.
x
Найдите расстояние между точками Е и F координатной прямой, если
Решите неравенство
(5х-2)(х+2)≥0
7(1,2х-5)+18-х = 5,2 помогите пожалуйста
Что больше? Круг или окружность?
Контакты
Реклама на сайте
Спрошу
О проекте
Новым пользователям
Новым экспертам