
Manalas
7 год назад
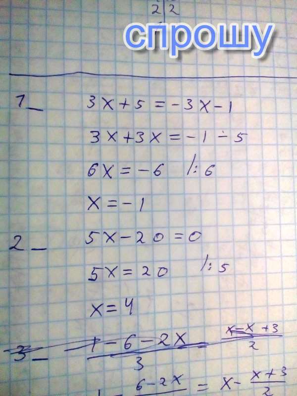
1_
3x+5 = -3x-1
2_
5x-20 = 0
3_
1-6-2x/3 = x-x+3/2

ОТВЕТЫ

Bonifaczievich
Jul 7, 2019
Решение на фотографии... 3-ее не понятно, извините..
3x+3x=1-5:
6x=-4:
x=-4 дробь 6 делить
x=0.66
6x=-4:
x=-4 дробь 6 делить
x=0.66
104