Регистрация
Войти
Стать экспертом
Правила
Математика
Фёдор
7 год назад
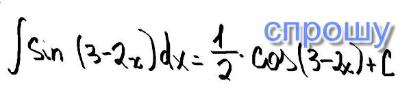
Вычислить Sin(3-2x)dx
ОТВЕТЫ
Renezhpak
Jul 7, 2019
Решение данного интеграла
105
Смежные вопросы:
В пакете 2 кг муки.Для теста хозяйка отсыпала в миску
Представьте число 30 в виде суммы простых чисел всеми возможными
Выберите правильный ответ(квадратное уравнение)
304 помогите пожалуйста!
На 4730 р можно купить 86 кг винограда. Сколько нужно
Контакты
Реклама на сайте
Спрошу
О проекте
Новым пользователям
Новым экспертам