Регистрация
Войти
Стать экспертом
Правила
Алгебра
Sanedpak
7 год назад
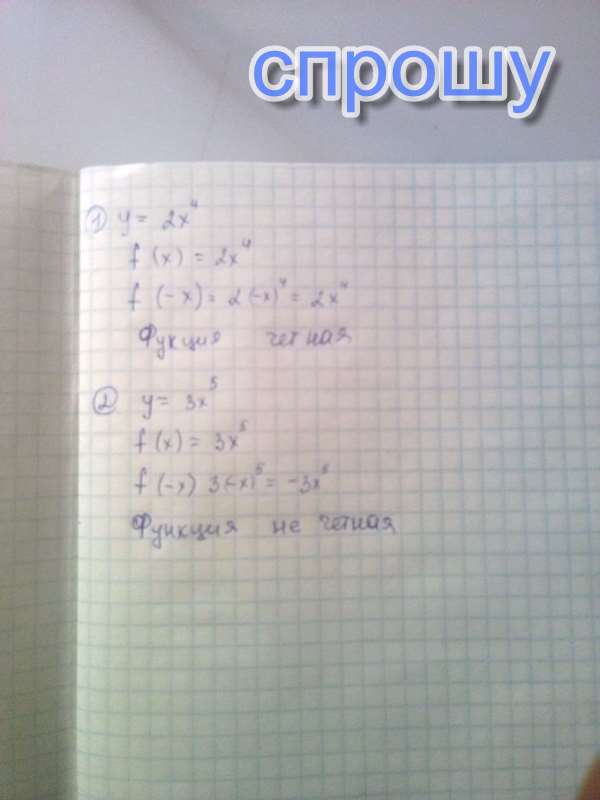
Помогите а алгебра y = 2x^4; y = 3x^5 вычислите явление функций четными и не четными
ОТВЕТЫ
Nanovomva
Jul 7, 2019
1- четная. 2- не четная
219
Смежные вопросы:
Помогите пожалуйста.
cos d, tg d, ctg d - ?
Решите уравнения.
С решением, просто ответы не писать
Y = 2x^4 ; y = 3x^5 вычислить явления функции
Вынесите множитель за знак корня 3√x5
Помогите пожалуйста прошу умоляю срочно умираю
Контакты
Реклама на сайте
Спрошу
О проекте
Новым пользователям
Новым экспертам