Регистрация
Войти
Стать экспертом
Правила
Математика
Anann
7 год назад
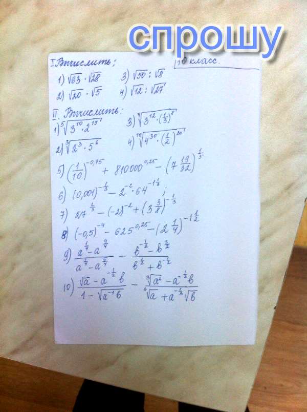
((√a-a^(-1/2)b)/(1-√a^(-1)√b))/((a^(2/3)-a^(-1/3)b)/(a^(1/6)+a^(-1/3)√b)) помогите пожалуйста!!! На листочке этот номер "10". даю 34 балла
ОТВЕТЫ
Nyumalpan
Jul 7, 2019
Решил 10 номер на листочке
26
Смежные вопросы:
10 разделить на 5 умножить на 9 плюс 9 плюс
Задание про электронные часы
Log7(21+x) = log7(9-x)
Число 132 разделите на части, пропорциональные числам 1/4; 5/4; 4.
Найдите корень ур-я:
2^1-х = 8
Сроочно!
Контакты
Реклама на сайте
Спрошу
О проекте
Новым пользователям
Новым экспертам