
Cordasida
7 год назад
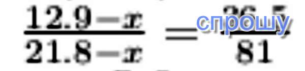
Как такое решить(в файле) ,надо х найти

ОТВЕТЫ

Люциевич
Jul 7, 2019
81*(12,9-x)=36,5*(21,8-x)
1044,9-81x=795,7-36,5x
1044,9-795,7=81x-36,5x
44,5x=249,2
x=249,2:44,5
x=5,6
1044,9-81x=795,7-36,5x
1044,9-795,7=81x-36,5x
44,5x=249,2
x=249,2:44,5
x=5,6
Ответ ответ ответ ответ ответ ответ
218