Регистрация
Войти
Стать экспертом
Правила
Математика
Thordimand
7 год назад
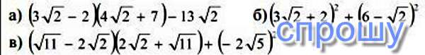
Помогите срочно плизз!!!
ОТВЕТЫ
Filon
Jul 7, 2019
Я думаю что так решается
40
Смежные вопросы:
Найди значение выражения (3 4/5×1 1/19-2 5/6)÷3,75
В школьном саду посадили деревья. В первом ряду 15, во
Запиши три чётных трехзначных числа которые делятся на 5
Коля купил 5 открыток по цене у р. За каждую
Упростите sin 4t /cos 2t -sin2t
Контакты
Реклама на сайте
Спрошу
О проекте
Новым пользователям
Новым экспертам