Регистрация
Войти
Стать экспертом
Правила
Математика
Kebaduvin
7 год назад
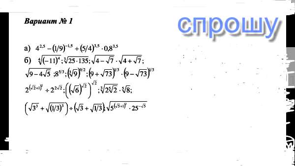
Помогите решить, желательно половину или больше)
ОТВЕТЫ
Bielirsep
Jul 7, 2019
Решение на фотографии.. Надеюсь разберешься
134
Смежные вопросы:
Начертите окружности с радиусом -
а) 6 см.
Помогите решить задачу пожалуйста!
Очень срочно надо :
3•4+9•6-(27+9):4•5 решите с действиями я их почитал их 7
Помогите пажалуйста :(
Решите уравнение (полностью)
х+3х = 120
Контакты
Реклама на сайте
Спрошу
О проекте
Новым пользователям
Новым экспертам