Регистрация
Войти
Стать экспертом
Правила
Алгебра
Владислав
7 год назад
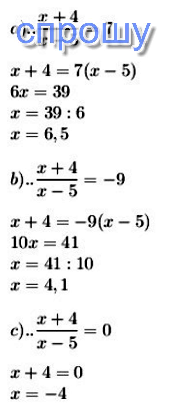
При каком значении x значение дроби:
1) х+4/х-5 равно 7; -9; 0;
Пожалууйстаа. <3
ОТВЕТЫ
Zhaabzogi
Jul 7, 2019
148
Смежные вопросы:
Решите кто шарит................
Massa 1m kub vozduha ravna 1290gr naydite massu vozduha komnati
Две машины выехали одновременно из одного пункта и едут в
Представь данный одночлен 0,25b 6 в виде квадрата некоторого одночлена.
Запишите выражение....
Контакты
Реклама на сайте
Спрошу
О проекте
Новым пользователям
Новым экспертам