Регистрация
Войти
Стать экспертом
Правила
Алгебра
Muniath
7 год назад
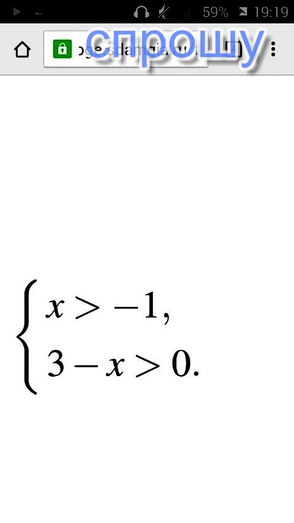
Решите систему неравенств
ОТВЕТЫ
Scheental
Jul 7, 2019
Xgt;-1
3-xgt;0
xgt;-1
xlt;3
x принадлежит (-1;3)
91
Смежные вопросы:
Запишите произведение...........
Y = (x^2+1) sinx производные
Помогите решить неравенство
3cos^2x = 3sinx Решите уравнение:
Sinx+2cosx = 1 Решите уравнение:
Контакты
Реклама на сайте
Спрошу
О проекте
Новым пользователям
Новым экспертам