Регистрация
Войти
Стать экспертом
Правила
Математика
Архипп
7 год назад
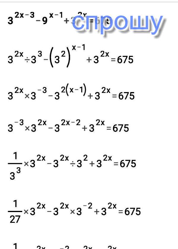
3 в степени 2х-3 - 9 в степени х-1 +3 в степени 2х = 675
ОТВЕТЫ
Meop
Jul 7, 2019
Надеюсь понятно
ту всё очень хорошо и подробно решено
219
Смежные вопросы:
Помогите пожалуйста ребят = )
В равнобедренной трапеции один
Какие числа соответсвуют точкам А,B, Cи D на координатном луче
1) 81*1,5^x - 36*1.5^-x = -45
В саду собрали 444кг яблок сорта "богатырь" и 348 кг
1 ДЕЙСТВИЕ С ПОЯСНЕНИЕМ.
из 40 заварных
Контакты
Реклама на сайте
Спрошу
О проекте
Новым пользователям
Новым экспертам