Регистрация
Войти
Стать экспертом
Правила
Алгебра
Гавриил
7 год назад
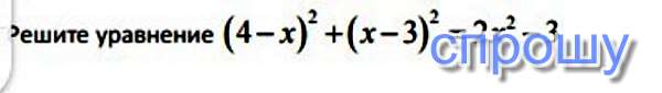
Помогите пожалуйста !
ОТВЕТЫ
Siak
Jul 7, 2019
=16-х квадрат+ х квадрат-9=7
252
Смежные вопросы:
Квадратное уравнение: сумма его корней равна -5,а произведение -6
При каких значениях выражение дробь-числитель 6,знаменатель х + 6 не
Решите неравенство -3-x>4x+7
Желательно фото с решением
Найдите ㏒a (a^8 b^9) если ㏒a b = -6
Найдите ㏒a a^3/b^5 , если ㏒a b = 7 .
Контакты
Реклама на сайте
Спрошу
О проекте
Новым пользователям
Новым экспертам