
Naadodkan
7 год назад
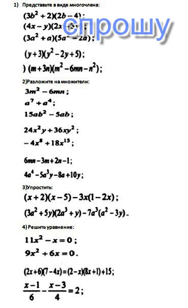
Люди помогите!!! Алгебра!!! Даю 20 баллов!!!

ОТВЕТЫ

Sayuded
Jul 7, 2019
=====================================================
2.
3м(м-2н)
а^4(а^3+1)
5ав(3в-1)
4ху(6х+9у)
-2х^8(2+9х^7)
======================================================
2.
3м(м-2н)
а^4(а^3+1)
5ав(3в-1)
4ху(6х+9у)
-2х^8(2+9х^7)
======================================================
72