
Савелий
7 год назад
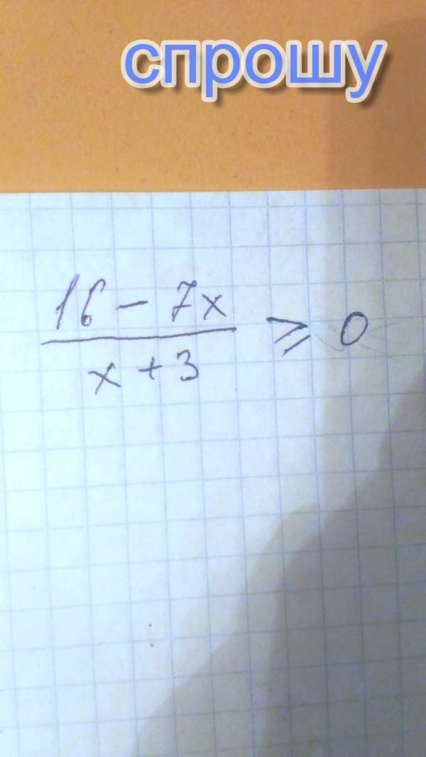
Решите, пожалуйста)))

ОТВЕТЫ

Laag
Jul 7, 2019
16-7хgt;0
x+3gt;0
16-xlt;0
x+3lt;0
xlt;16/7
xgt;-3
xgt;16/7
xlt;-3
ответ (от -бесконеч до -3} {16/7 до + бесконеч)
x+3gt;0
16-xlt;0
x+3lt;0
xlt;16/7
xgt;-3
xgt;16/7
xlt;-3
ответ (от -бесконеч до -3} {16/7 до + бесконеч)
36