
Nuaath
7 год назад
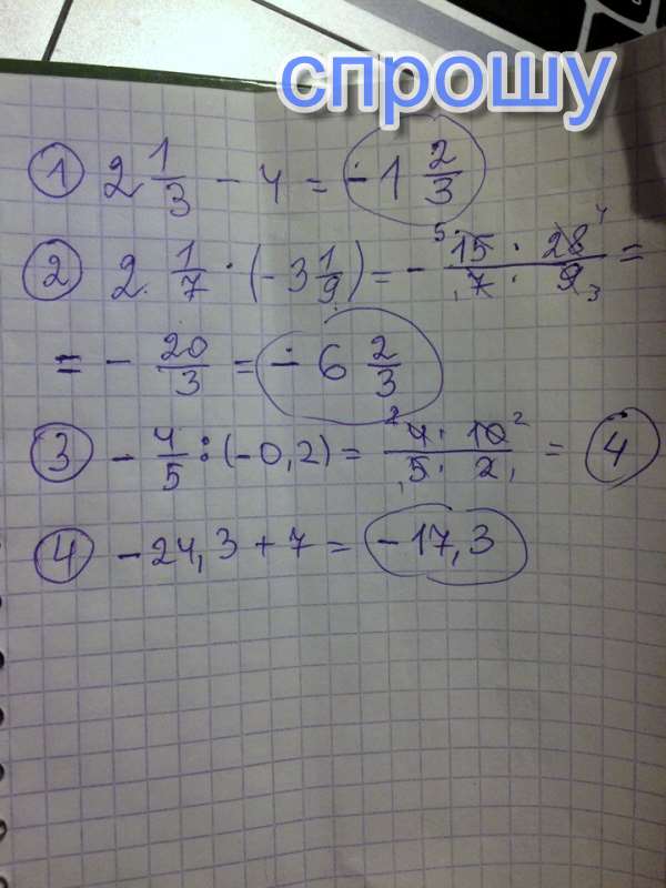
2целых 1/3-4 =
2целых 1 / 7×(-3целых 1 / 9) =
-4/5÷(-0,2) =
-24,3+7 =
выполните действие

ОТВЕТЫ

Ефим
Jul 7, 2019
Решение в прикрепленном файле
216