
Артем
7 год назад
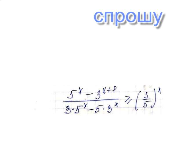
Хотя бы начало ,не могу понять как делать замену

ОТВЕТЫ

Харитон
Jul 7, 2019
(5^x-3*3^x)/(3*5^x-5*3^x)-3^x/5*x≥0
(5^2x-3*x*5^x-3*5^x*3^x+5*3^2x)/(3*5^2x-5*3^x*5*x)≥0
разделим чмслитель и знаменатель на 3^2x
((5/3)^x-6*(5/3)^x+5)/(3*(5/3)^2x-5*(5/3)^x)≥0
(5/3)^x=a
(a²-6a+5)/(3a²-5a)≥0
a²-6a+5=0
a1+a2=6 U a1*a2=5
a1=1 U a2=5
3a²-5a=0
a(3a-5)=0
a=0 a=5/3
+ _ + _ +
----------------(0)--------------[1]-------------(5/3)-----------------[5]-----------------
alt;0⇒(5/3)^xlt;0 нет решения
1≤alt;5/3⇒1≤(5/3)^xlt;5/3⇒0≤xlt;1
agt;5⇒(5/3)^xgt;5⇒xgt;log(5/3)5
x∈[0;1) U (log(5/3)5;∞)
(5^2x-3*x*5^x-3*5^x*3^x+5*3^2x)/(3*5^2x-5*3^x*5*x)≥0
разделим чмслитель и знаменатель на 3^2x
((5/3)^x-6*(5/3)^x+5)/(3*(5/3)^2x-5*(5/3)^x)≥0
(5/3)^x=a
(a²-6a+5)/(3a²-5a)≥0
a²-6a+5=0
a1+a2=6 U a1*a2=5
a1=1 U a2=5
3a²-5a=0
a(3a-5)=0
a=0 a=5/3
+ _ + _ +
----------------(0)--------------[1]-------------(5/3)-----------------[5]-----------------
alt;0⇒(5/3)^xlt;0 нет решения
1≤alt;5/3⇒1≤(5/3)^xlt;5/3⇒0≤xlt;1
agt;5⇒(5/3)^xgt;5⇒xgt;log(5/3)5
x∈[0;1) U (log(5/3)5;∞)
215