
Lyuimeso
7 год назад
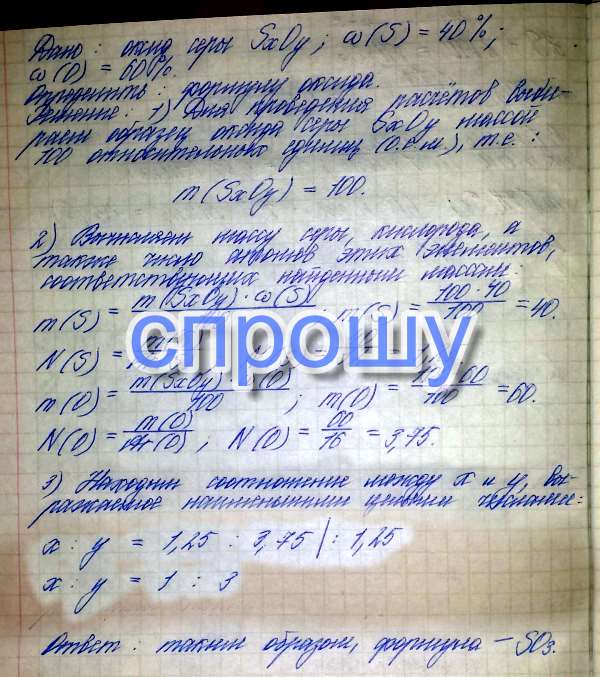
Массовые доли серы и кислорода в оксиде серы равны соответственно 40%
и 60%.Определите простейшую формулу оксида

ОТВЕТЫ

Влезков
Jul 5, 2019
Знаю, что не бывает такого, что после серы ставится какое-то число, ибо оксиды серы существуют только SO, SO₂, SO₃, но пришлось поставить "x" для удобства :)
И извиняюсь за дефекты на фотографии...
И извиняюсь за дефекты на фотографии...
73
Смежные вопросы: