
Как вычислить определенный эллиптический интеграл второго порядка?


Вот решил дополнить ответ и конкретизировать..
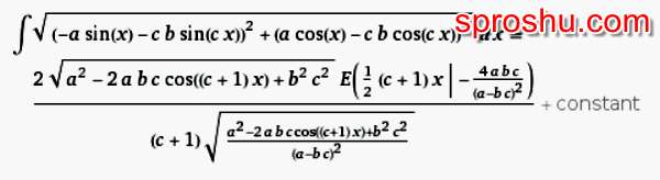
Итак, как известно, эллиптические интегралы в общем случае не имеют аналитического решения..
Но можно подобрать почти аналитическое решение..
Как сказано ранее, не решаемые аналитически интегралы могут решены быть почти аналитически, для этого интеграл раскладывают в степенной ряд и находят решения простых членов ряда вплоть до указанного члена исходя из необходимой точности..
Для эллиптического интеграла второго рода эта формула имеет вид:
1/sqrt(1+E)((ф+E sin(2ф)/4)|ф1, ф2
где E=k^2/(2-k^2)..
Эта формула использует разложение по двум членам, при этом точность вычисления эпсилон равна порядка одной миллионной, если добавить ещё 2 члена из ряда, то точность повысится в 500 раз!..
Называется это аппроксимацией эллиптических интегралов..
автор вопроса выбрал этот ответ лучшим